Meranie vlastností nelineárnych dielektrík na báze titánu

Authors

  • Ján Tkáč Technical University of Košice, Slovakia
  • Marek Hvizdoš Technical University of Košice, Slovakia

Abstract

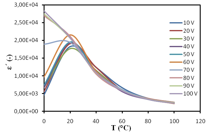
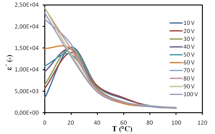
Tento príspevok sa zaoberá problematikou vlastností nelineárnych dielektrík na báze titánu. Využitie týchto materiálov je v oblasti výkonovej elektroniky, kde sa najčastejšie využívajú vo funkcii kapacít, označovaných ako keramické kondenzátory. Základnými skúmanými, ale aj používanými materiálmi sú BaTiO3 a SrTiO3. Na uvedených materiáloch boli realizované merania vlastností v závislosti od teploty, frekvencie a napätia. Merania poukázali na skutočnosť, že ich nelinearita veľmi nepriaznivo ovplyvňuje veľkosti kapacity už pri bežných pracovných teplotách.

Downloads

Published

2014-09-10

Issue

Section

Články - Articles